Dec. 20, 2025
ePTFE是通过PTFE分散树脂不添加任何物质机械拉伸制备而成的,所以它保留了PTFE所有的优良性能,具有极其良好的化学稳定性、耐化学腐蚀性、耐气候性、高润湿、不粘附、优异的生物相容性、无毒害、电绝缘性、无尘性等众多优异性能,同时它还具有宽广的耐高低温性能,在-180℃至260℃温度范围内可以长期使用;ePTFE除了保留PTFE所有的优异性能外,还具有孔径小、孔径分布均匀、孔隙率高、薄膜强度高、防水、透气、透湿、防尘、防风保暖的效果。因此,ePTFE在纺织面料、电缆及电缆组件、电子元件与电化学材料、纤维产品、过滤产品、医疗产品、密封产品等领域有着广泛的应用。
PTFE具有低的表面能,很难将ePTFE膜与其他材料粘接在一起,所以需要对ePTFE膜表面进行改性。等离子体改性时不会改变PTFE本体的机械性能以及其他的自身属性。并且可以根据 不同的等离子体处理气体,不同的激发方式可以获得不同的特征表面,具有可操作性。为了改善ePTFE膜的粘接性能,利用低温等离子体对ePTFE膜进行改性处理,以期提高其表面能。
图1显示了ePTFE膜的表面WCA随等离子体处理功率的变化。从图1可以看到,未处理的ePTFE膜的表面水接触角为142°,表现出高的疏水性,这是PTFE表面的化学结构和ePTFE膜的节点-纤维的粗糙结构导致的。经过空气和He气低温等离子体处理后,ePTFE膜的表面WCA随着射频功率的增加逐渐降低。这是因为随着射频功率的增加,等离子体被激发产生的离子、电子等活性粒子的能量密度增加,对ePTFE膜表面冲击作用的强度和概率增加,使其表面WCA减小。同时可以清楚的看到,He气和空气对ePTFE膜的改性效果区别很大,前者明显优于后者。He等离子体在300W处理1min后,ePTFE膜的表面WCA降低至44.6°,表现出强的疏水性能,继续增加射频功率,WCA保持稳定;而通过空气等离子体在300W处理1min后,ePTFE膜表面WCA为108°,仍表现出疏水特性,即使将等离子射频功率增加到400W,其WCA也仅下降到91°,未能达到亲水效果。这证明在相同处理条件下,He气等离子体处理效果是明显优于空气等离子体的。
等离子体处理PTFE一般会引起脱氟、断键,引入碳氢键、含氧基团等极性基团,从而破坏了PTFE的对称性,改善亲水性和湿润性能。空气的主要成分是氮气和氧气,氮气和氧气等离子体中含有大量的活性粒子,一般包含激发态氮分子、氧分子、氮原子和氧原子,这些活性粒子可以发生氧化刻蚀作用,特别是刻蚀作用极强。空气等离子体处理ePTFE膜时,由于其中大量活性粒子的作用,PTFE被强烈刻蚀的同时也发生了一系列的氧化反应。但在空气等离子处理时,ePTFE膜的WCA降低较小,这是因为刻蚀作用占比较大,氧化作用占比较小,ePTFE膜中的化学键较少,非极性改变不大,导致接触角有一定减小,但减小幅度较小。He气是一种惰性气体,He气是等离子体处理中的一种非反应性气体,He原子不能直接接枝到高聚物表面的大分子链中,但由于He气等离子体中高能粒子轰击ePTFE膜表面时可以使C-C键和C-F键发生断裂,在材料表面产生大量自由基,PTFE在He等离子体处理后产生的新自由基保持时间较长,这就使得处理完成后,空气中的氧气能与自由基发生作用,产生大量的极性基团,从而使PTFE的极性增加,亲水性增强。

图1ePTFE膜的表面WCA随等离子体处理功率的变化
除了射频功率的影响,等离子体处理时间也是影响ePTFE膜表面水接触角的主要因素。图2显示了在300W的射频功率情况下,等离子体处理时间对ePTFE膜表面WCA的影响。从图中可以看到,当处理气体为He气时,ePTFE膜的表面WCA在短时间内急剧的降低,但随着处理时间的继续增加,WCA保持稳定。这是因为,1min的处理时间足以保证He等离子体对PTFE中C-C键和C-F键的冲击,使其表面大部分的键断裂,当时间进一步增加,ePTFE膜表面已经无法提供更多的化学键。而当处理气体为空气时,ePTFE膜的表面水接触角的下降幅度有限,虽然随着处理时间的增加逐渐降低,但即使处理时间增加到10min,ePTFE膜的表面水接触角仍高达81°。这再一次证明了He气等离子体对ePTFE膜的处理效果显著优于空气等离子体。

图2 等离子体处理时间对 ePTFE膜表面WCA的影响
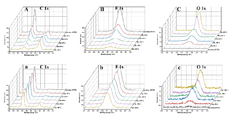
为了进一步的研究等离子体处理对ePTFE膜表面性能的影响,通过XPS对等离子处理后的ePTFE膜进行了表征,其结果显示在图3中。从图3A和3a中可以看到,处理前的ePTFE膜C1s电子的XPS谱图中只有一个峰,在290.7eV处,对应着PTFE中C-F键中的C元素。由于氟原子体积较大,C-F键长较短,使较大的F原子紧密地堆砌在C-C链骨架周围,形成了一个紧密的“氟代”保护层,所以在XPS测试中未能显示出C-C键中的C元素。当等离子处理气体为He气时(5.6A),随着射频功率的增加,C-F键对应的C1s电子峰的强度呈现出先减小后趋于平稳的趋势;同时可以看到,经过等离子体处理后的ePTFE膜表面在283.6eV处的C-C键对应的C1s电子峰逐渐显现,并随着射频功率的增加逐渐增加后趋于平稳。这是因为经过He气等离子体处理后,ePTFE膜中的C-F键断裂产生自由基,C-F键中的C1S峰强度逐渐减小。同时C-F键的断裂使原本被“氟代”保护层围绕的C-C键逐渐显现出来,被XPS捕捉到,C-F键断裂的越多,C-C键就暴露的越多,所以其呈现出与C-F键中的C1s相反的趋势。经过空气等离子处理后的ePTFE膜表面的C1s电子的XPS谱图也呈现出与He其等离子体相似的规律,但可明显的观察到C1s电子峰的强度变化较小,如图3a所示。

图3 等离子处理后的ePTFE膜 XPS图谱
图3B和3b中,所有样品的F1s电子的XPS谱图中都只有一个峰,在687.2eV附近,经过等离子体改性后的ePTFE膜中的F1s电子峰的峰面积和强度都下降了。并且随着射频功率的增加,其强度和峰面积逐渐降低,但He气等离子体处理后的样品下降幅度较大,而空气等离子体处理后的样品下降幅度非常的小。图3C和3c分别显示了经过He气等离子体和空气等离子体处理后的ePTFE膜的O1s电子峰。原始的ePTFE膜中没有出现O1s的电子峰,而经过等离子体处理后,在531.5eV处出现了O1s电子的XPS峰,这说明等离子体处理后的ePTFE膜表面引入了氧元素,并且随着射频功率的增加,O1s的电子峰面积和强度逐渐增加,氧元素的含量逐渐增加。
图4a、4b和4c分别比较了He气等离子体和空气等离子体在相同的射频功率和处理时间下的ePTFE膜表面的F1s、O1s和C1s电子的XPS谱图。从图中可以看到,无论是F1s、O1s还是C1s电子峰面积和强度,He气等离子体处理后的ePTFE膜的变化幅度都是明显高于空气等离子体的。例如,原始ePTFE膜的F1s的电子峰强度为86307c/s,经过空气等离子体处理后的电子峰强度为63565c/s,仅下降了26%;而经过相同射频功率和处理条件的He气等离子体处理后的ePTFE膜的F1s的电子峰强度仅为8658c/s,相比于原始ePTFE膜,强度下降了90%,是空气等离子体处理后下降幅度的近4倍。同时,对空气和He气等离子体处理后的ePTFE膜的C1S电子谱图进行对比还可以发现,He等离子体处理后的ePTFE膜表面的C1s电子谱图比较复杂,明显是由5个不同的峰组合而成,对其利用CasaXPS软件进行分峰操作,其结果显示在图4d中,这五个峰从高到低分别对应293.2eV处的C-F键、291.5eV处的C=O-O键、288.0eV处的C=O键、286.0eV处的C-O键和284.6eV处的C-C键。这些含氧基团的产生是由于经过He等离子体冲击后,C-F发生断裂形成大量的自由基,处理完成后,空气中的氧气与自由基发生作用而产生的。正是因为大量的含氧基团的产生,使经过He气等离子体处理后的ePTFE膜表面的O1s的电子峰面积和强度大幅提高,使ePTFE膜表面由处理前的非极性变为强极性,从而使ePTFE膜表面呈现出高亲水性,水接触角较小。而经过空气等离子体处理时,刻蚀作用占比较大,氧化作用占比较小,ePTFE膜表面氧元素的增加量非常少,非极性改变不大,导致表面水接触角值虽有一定减小,但减小幅度较小。

图4
通过上述的分析可以得出以下结论:经过等离子体对ePTFE膜表面进行处理后,膜表面的含氧基团增加,材料的极性增加,使其接触角明显减小,表面能增加,从而提高粘接性。
Jan. 10, 2026
Jan. 10, 2026
Jan. 09, 2026
Jan. 09, 2026
Copyright@ 2024深圳纳恩科技有限公司 All Rights Reserved|
Sitemap
| Powered by
| 粤ICP备2022035280号www.naenplasma.com | 备案号:粤ICP备2022035280号www.naenplasma.com